Dienstleistungen
Für Entwickler, Forscher und Start-ups
Unser rationalisierter Zertifizierungsprozess beschleunigt die Einführung Ihrer medizinischen Algorithmen auf dem globalen Markt, damit Sie der Konkurrenz immer einen Schritt voraus sind und Gesundheitsdienstleistern und Patienten innovative Lösungen anbieten können.
Wir bieten einen umfassenden Zertifizierungsprozess, der Ihre Algorithmen anhand internationaler Standards wie ISO 13485 bewertet, um erstklassige Qualität und Sicherheit zu gewährleisten.
Wir verwenden die Infrastruktur und das QMS wieder, daher sind die Kosten für die Zertifizierung in der Regel deutlich niedriger als 50% im Vergleich zu einer Selbstzertifizierung.
Gut strukturierter und risikoarmer Zertifizierungsprozess

Rechtsfertigung als Dienstleistung
MDSW Marketing und Vertrieb
MDSW/Plattformintegration und Implementierungsdienste
Marketing- und Vertriebsszenarien
Szenario 1 Pro's Contra's
Szenario 2
Szenario 3
Unsere Dienstleistungen für Sie
Vorteile der Verwendung von Evidencio als Ihr legaler Hersteller
Zusätzliche Dienstleistungen
Zusätzlich bietet Evidencio den Algorithmus Medizinische Gerätebibliothek, sowie standardisierte Elektronische Patientenakten (EMRs) und 3rd party IT system integration.
Algorithmus Medizinische Gerätebibliothek
Die Evidencio Bibliothek für medizinische Geräte bietet Lizenz-Abonnements für den Zugang zu Algorithmen als zertifizierte Medizinprodukte für den klinischen Einsatz. Algorithmus-Abonnements können von jedem Evidencio-Pro-Abonnenten für den persönlichen klinischen Gebrauch erworben werden. Wenn Sie für Ihr Krankenhaus, Institut, Unternehmen oder Ihre Organisation eine Lizenz für einen beliebigen Algorithmus aus der Bibliothek für Medizinprodukte erwerben möchten.
Nehmen Sie Kontakt mit unseren Vertriebsmitarbeitern aufEMR/EHR-Integration
Evidencio's Medical Device Algorithms können in die am weitesten verbreiteten EMRs/EHRs integriert werden. Durch die Verwendung von (offenen) standardbasierten Integrationen wie HL7 FHIR und CDS Hooks können unsere Algorithmen nahtlos in klinische Arbeitsabläufe und Patientenakten integriert werden.
3rd party IT system integration
Evidencio's Algorithmen für medizinische Geräte können auch von Entwicklern von z.B. Mobile Apps oder Care Path Software genutzt werden. Dies ermöglicht die Erstellung medizinischer Anwendungen, ohne dass das gesamte Softwaresystem als medizinisches Gerät eingestuft wird.
Warum sollten Sie sich für die Evidencio-Algorithmus-Bibliothek für Medizinprodukte entscheiden?
Qualität und Zertifizierung: Die Gerätebibliothek von Evidencio Medical enthält nur CE-gekennzeichnete Algorithmen, die die Einhaltung der höchsten europäischen Standards für Sicherheit und Leistung gewährleisten. Jeder Algorithmus wird rigoros auf Genauigkeit und Zuverlässigkeit geprüft.
Vielseitiger Zugang: Egal, ob Sie webbasierte Algorithmen für einen schnellen Zugriff oder vollständig in Ihr EMR-System integrierte Lösungen benötigen, Evidencio bietet flexible Bereitstellungsoptionen, die Ihren individuellen Anforderungen entsprechen.
Skalierbar und nachhaltig: Die Evidencio-Plattform ist auf optimale Stabilität und Benutzerfreundlichkeit ausgelegt, damit Sie sich in kritischen klinischen Situationen auf unsere Algorithmen verlassen können. Mit intuitiven Schnittstellen und robustem Support können Sie unsere Lösungen mühelos in Ihren Arbeitsablauf integrieren.
Wide Range of Applications: Von Diagnosetools und Behandlungsplanung bis hin zu prädiktiven Analysen und Patientenmanagement, Evidencio bietet eine umfassende Suite von Algorithmen, die auf die vielfältigen Anforderungen des Gesundheitswesens zugeschnitten sind.
Trusted by Healthcare Leaders: Schließen Sie sich den führenden Krankenhäusern, Gesundheitsdienstleistern und ISVs an, die der Evidencio Medical Device Library vertrauen, um ihre klinische Entscheidungsfindung zu verbessern und die Patientenergebnisse zu steigern.
Hauptmerkmale
Modellentwicklung & -validierung
Evidencio kann Sie und Ihr Forschungsteam bei der verantwortungsvollen Entwicklung eines neuen Algorithmus unterstützen, der z. B. auf Ihrer Studienpopulation, historischen Daten usw. basiert. Wir können Ihnen und Ihren Kollegen in der wissenschaftlichen Gemeinschaft auch Tools zur Verfügung stellen, mit denen Sie schnell Modellvalidierungen durchführen können, oder Algorithmusvalidierungen für oder mit Ihnen durchführen.
Evidencio verfügt über umfangreiche Erfahrung in der Entwicklung verantwortungsvoller Modelle. Wir können Ihnen helfen, häufige Fallstricke zu vermeiden, damit Ihre Arbeit unvoreingenommene und leistungsstarke Prognosetools hervorbringt. Wir raten Ihnen, zumindest die folgenden Punkte zu berücksichtigen TRIPOD und PROBAST Methodologien.
Bitte kontakt Sie uns, wenn Sie mehr wissen möchten, wir teilen gerne unsere Erfahrungen.
Diskriminierung
Kalibrierung
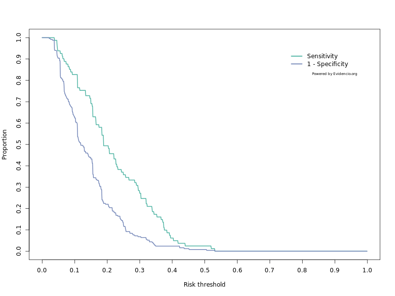
Klassifikations kurve

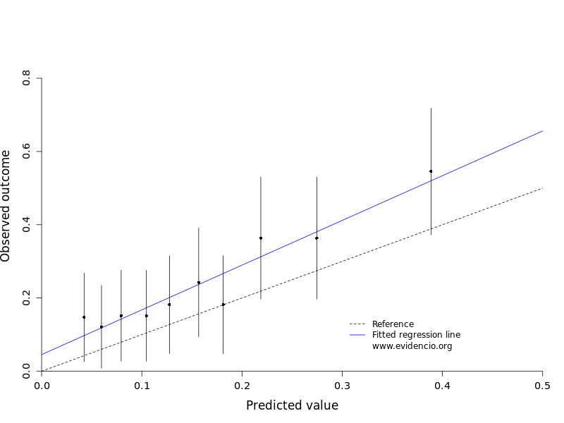
Kalibrierungsdiagramm

Histogramm

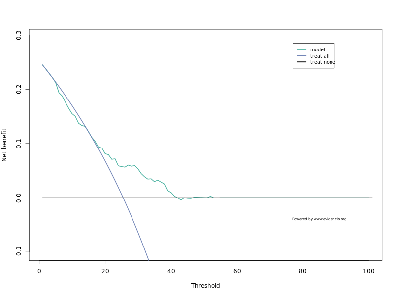
Entscheidungskurve

ROC Plot

Plattformnutzung
Kostenlose Nutzung
Die Evidencio-Plattform ist für den persönlichen und akademischen Gebrauch kostenlos. Wir haben die Evidencio-Plattform auf der Grundlage der Idee entwickelt, dass sie als kostenloser Dienst bereitgestellt werden kann, sofern Ihre Nutzung unserer Dienste nicht im Namen Dritter erfolgt, um eine Dienstleistung zu erbringen oder Geld zu verdienen. Mit anderen Worten, Sie können unsere Dienste gerne kostenlos für Ihre persönliche, akademische oder andere nicht kommerzielle Nutzung nutzen.
Lizenzierung & Abonnemente
Wenn Ihr Verwendungszweck für Evidencio nicht mit unseren Bedingungen für die kostenlose Nutzung übereinstimmt, z.B. wenn Sie Evidencio im Rahmen von Gesundheitsprozessen in einem Krankenhaus verwenden möchten, bietet Evidencio faire Abonnement- und Lizenzierungsmöglichkeiten. Unser Ziel ist es, faire Preise und Bedingungen für die Nutzung der Evidencio-Plattform für eine Vielzahl von kommerziellen Anwendungsfällen und Wertschöpfungsketten zu bieten.
Funktionen, Anwendungsfall & Lizenzierungstabelle
Persönliche, akademische & nichtkommerzielle Nutzung | Klinische & kommerzielle Nutzung | ||||
Gast
Kostenlos |
Nutzer
★
Kostenlos |
Beitragende
★★
Kostenlos |
Professionell
★★★
€ 9,99 p. monat |
Team & Unternehmen
Preisangabe anfordern |
|
---|---|---|---|---|---|
Öffentlich Modelle verwenden | |||||
Öffentlich Modelle einbetten | ★★★★ | ||||
Rechercheanfrage | |||||
Lieblingsmodelle speichern
Web & App |
|||||
Vorhersagemodelle teilen | |||||
Geteilte & Privat-Modelle verwenden | |||||
Sequentielle Modelle verwenden | |||||
Feedback & Bewertungen geben | |||||
Vorhersagemodelle erstellen | |||||
Zusammengesetzte Modelle erstellen | |||||
Modelle validieren | |||||
Modelle & Validierungen veröffentlichen | |||||
API-Verwendung | Auf Anfrage | Auf Anfrage | ★★★★ | ||
Patientenspezifische Berichte
|
3/Tag |
5/Tag,
Eigene Modelle: Unbegrenzt |
|||
Private Modelle einbetten | ★★★★ | ||||
Sequentielle Modelle erstellen | |||||
Lizenzierte Modelle verwenden | |||||
Team- und Abteilungsfunktionen | |||||
EHR-Integration | |||||
|
|
|
Professionelle Dienstleistungen
Bitte nehmen Sie Kontakt auf um ein passendes Angebot zu besprechen oder um mit einem zertifizierten Wiederverkäufer in Verbindung zu treten.
Content-Lizenzierung
Ein Abonnement für Content-lizenzen eröffnet Ihnen die Möglichkeit, Ihr (institutionelles) geistiges Eigentum (IP) zur Verwendung über die Evidencio-Plattform zu lizenzieren. Sie können Ihre Modelle für alle Evidencio-Benutzer oder einen bestimmten Gruppe von Benutzer kostenlos oder zu einem fairen Preis lizenzieren.
Bitte nehmen Sie Kontakt auf für detaillierte Informationen.
Ihre Nutzung der von Evidencio bereitgestellten Websites, Anwendungen, Apps oder Dienste unterliegt unseren Allgemeinen Geschäftsbedingungen